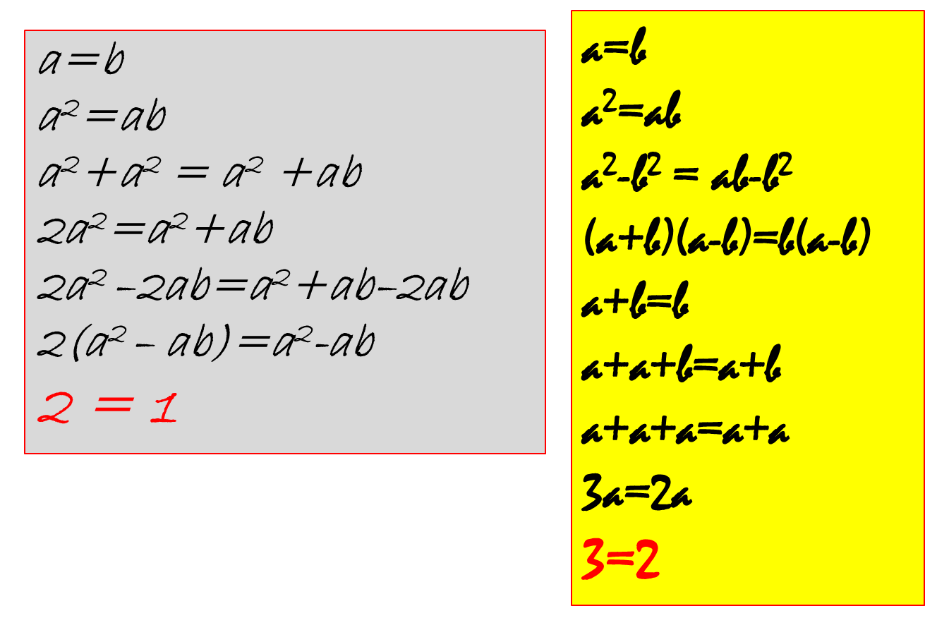
I haven’t seen these in a long, long time but a 12 year old reminded me of the fun available with algebra when messing with hidden zeros and square roots:
Tags: false proofs
I haven’t seen these in a long, long time but a 12 year old reminded me of the fun available with algebra when messing with hidden zeros and square roots:
Tags: false proofs