Archive for the ‘Food’ Category

Fat pigs are happy pigs

June 7, 2014

Caesar: Let me have men about me that are fat ..

A truth known already in Shakespeare’s day and a new paper seems to confirm the adage – even if only for pigs.

Annika Maria Juul Haagensen et al, High Fat, Low Carbohydrate Diet Limit Fear and Aggression in Göttingen Minipigs, PLOS OneDOI: 10.1371/journal.pone.0093821

Nordic Science:Most of us associate the words ‘fat’ and ‘cholesterol’ with overweight, cardiovascular disease and unhealthy lifestyles but we could all be wrong, according to researchers who argue that not even the infamous saturated fats are as bad as we think they are. 

A new Danish study reveals that a diet high in fat and cholesterol makes pigs more social, less aggressive and less fearful. According to the researchers behind the study, such behaviour is associated with good health. …….. 

Even though the study was done on pigs the results would most likely be applicable to humans as well, says Annika Maria Juul Haagensen, PhD in Veterinary Disease Biology at the University of Copenhagen, who authored the study.

“It’s definitely something we should consider,” she says. “The next step is to determine how much fat is optimal for our physical and psychological health.”

Associate professor Lotte Lauritzen from the Department of Nutrition, Exercise and Sports at the University of Copenhagen says that’s a reasonable assumption.

“Previous studies on monkeys and rodents support these findings,” she says. “We know that our brain cells need fat to make new connections and function optimally.”

For instance, she says, too little omega 3 fat affects the serotonin system which regulates our mood. …….. 

“There are several possible explanations to the changes in behaviour we observed in the pigs that were fed more fat,” she says.

One could be that the fat and cholesterol cause an increased release of serotonin. The higher levels of serotonin could’ve changed how aggressive, depressive and anxious the pigs were.

“At the same time a study shows that cholesterol increases the permeability between brain cells and blood. This means that more nutrients are transferred from the blood to the cells,” says Haagensen.

Fat and sugar and cholestorol are not all bad and don’t quite deserve the demonisation they have been subject to.

Vegetarians more susceptible to allergies, cancer, heart disease and depression

March 31, 2014

A new study from the University of Graz contradicts the politically correct advantages usually attributed to vegetarianism. “… our results showed that a vegetarian diet is associated with poorer health (higher incidences of cancer, allergies, and mental health disorders), a higher need for health care, and poorer quality of life”. 

It would seem that vegetarianism is “more about an ideological message that suggests false promises”.

Nutrition and Health – The Association between Eating Behavior and Various Health Parameters: A Matched Sample Study by Nathalie T. Burkert, Johanna Muckenhuber, Franziska Großschädl, Eva Rasky, Wolfgang Freidl, PLOS One, February 2014, Volume9, Issue 2.

DOI: 10.1371/journal.pone.0088278

Abstract: Population-based studies have consistently shown that our diet has an influence on health. Therefore, the aim of our study was to analyze differences between different dietary habit groups in terms of health-related variables. The sample used for this cross-sectional study was taken from the Austrian Health Interview Survey AT-HIS 2006/07. In a first step, subjects were matched according to their age, sex, and socioeconomic status (SES). After matching, the total number of subjects included in the analysis was 1320 (N = 330 for each form of diet – vegetarian, carnivorous diet rich in fruits and vegetables, carnivorous diet less rich in meat, and carnivorous diet rich in meat). Analyses of variance were conducted controlling for lifestyle factors in the following domains: health (self-assessed health, impairment, number of chronic conditions, vascular risk), health care (medical treatment, vaccinations, preventive check-ups), and quality of life. In addition, differences concerning the presence of 18 chronic conditions were analyzed by means of Chi-square tests. Overall, 76.4% of all subjects were female. 40.0% of the individuals were younger than 30 years, 35.4% between 30 and 49 years, and 24.0% older than 50 years. 30.3% of the subjects had a low SES, 48.8% a middle one, and 20.9% had a high SES. Our results revealed that a vegetarian diet is related to a lower BMI and less frequent alcohol consumption. Moreover, our results showed that a vegetarian diet is associated with poorer health (higher incidences of cancer, allergies, and mental health disorders), a higher need for health care, and poorer quality of life. Therefore, public health programs are needed in order to reduce the health risk due to nutritional factors.

Press Release (in German)

NoTricksZone summarises the findings:

The scientists examined a total of 1320 persons who were divided up into 4 groups of 330 persons each. All groups were comparable with respect to gender, age, and socio-economic status. The study also accounted for smoking and physical activity. Also the BMI was within the normal range for all four groups (22.9 – 24.9). The only thing that really was different among the four groups was the diet. The four groups were: 1) vegetarians, 2) meat-eaters with lots of fruit and veggies, 3) little meat-eaters and 4) big meat-eaters. More than three quarters of the participants were women (76.4%).

..the results contradict the common cliché that meat-free diets are healthier. Vegetarians have twice as many allergies as big meat-eaters do (30.6% to 16.7%) and they showed 166% higher cancer rates (4.8% to 1.8%). Moreover the scientists found that vegans had a 150% higher rate of heart attacks (1.5% to 0.6%). In total the scientists looked at 18 different chronic illnesses. Compared to the big meat-eaters, vegetarians were hit harder in 14 of the 18 illnesses (78%) which included asthma, diabetes, migraines and osteoporosis .

The Medical University of Graz confirms findings by the University of Hildesheim: More frequent psychological disorders among vegetarians, the press release writes.

…. the University of Graz found that vegetarians were also twice as likely to suffer for anxiety or depressions than big meat eaters (9.4% to 4.5%). That result was confirmed by the University of Hildesheim, which found that vegetarians suffered significantly more from depressions, anxiety, psychosomatic complaints and eating disorders [2]. The U of Graz scientists also found that vegetarians are impacted more by ilnessses and visit the doctor more frequently …….

The mathematics of a pizza bite (by Sheffield University for Pizza Express)

October 19, 2013

English: Picture of an authentic Neapolitan Pi...

It is now crystal clear.  Eugenia Cheng is both a mathematician and a pizza lover.

A median bite from an 11” pizza has 10% more topping than a median bite from the 14” pizza.

On the perfect size for a pizza

cheng-pizza pdf
Eugenia Cheng
School of Mathematics and Statistics, University of Sheffield
E-mail: e.cheng@sheffield.ac.uk
October 14th, 2013
Abstract
We investigate the mathematical relationship between the size of a pizza and its ratio of topping to base in a median bite. We show that for a given recipe, it is not only the overall thickness of the pizza that is affected by its size, but also this topping-to-base ratio.

Acknowledgements: This study was funded by Pizza Express.

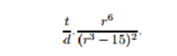
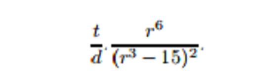
The ratio of topping to base in a median bite is given by

Formula for median pizza bite (Cheng)

where

r = radius of pizza (half the diameter) in inches
d = volume of dough (constant)
t = volume of topping (constant)
α = scaling constant for the edge

“Wicked” Greenpeace casting a dark shadow over the world

October 14, 2013

Wicked Green Pirate: image by http://nowio.deviantart.com/

Greenpeace and Friends of the Earth have become merely destructive movements. And their self-righteous beliefs in their world-view seem to justify any means. Not just piracy and drug-running, now Greenpeace have also been labelled “wicked” for their opposition to Golden rice. Patrick Moore – who was a co-founder of Greenpeace – called their opposition to GM crops in general and Golden rice in particular a “crime against humanity”.

And now the UK Secretary for the Environment, Owen Paterson called them “wicked” saying “they could be condemning millions of people in the developing world to a premature death”.

BBCOpponents of the development of a type of genetically modified (GM) rice enriched with vitamin A are “wicked”, the environment secretary has said.

In an interview with the Independent, Owen Paterson said they could be condemning millions of people in the developing world to a premature death.

Mr Paterson backed a letter from international scientists calling for the rapid development of “golden rice”. ….  Mr Paterson told the newspaper: “It’s just disgusting that little children are allowed to go blind and die because of a hang-up by a small number of people about this technology.

“I feel really strongly about it. I think what they do is absolutely wicked. There is no other word for it.”

Mr Paterson did not specify any particular groups in his interview but also said opponents of GM technology were “casting a dark shadow over attempts to feed the world”. ……

 ….. Meanwhile, in a letter to US journal Science, a group of leading academics accused Western non-governmental organisations of fuelling opposition to the development of GM technologies. They wrote: “If ever there was a clear-cut cause for outrage, it is the concerted campaign by Greenpeace and other non-governmental organisations, as well as by individuals, against golden rice.”

Environmental campaigners such as Greenpeace and Friends of the Earth have said there are more effective solutions to vitamin A deficiency.

The Independent adds:

In the strongest attack yet on the anti-GM lobby Mr Paterson told The Independent that NGOs such as Greenpeace and Friends of the Earth that oppose GM technology were “casting a dark shadow over attempts to feed the world”.

Nutrition rather than genetics when it comes to height over the last 100 years

September 2, 2013

Nutrition – and especially nutrition in the early years of life – has dominated the development of human height over the last 100 years. An average growth of 11 cm in the last 100 years. One hundred years is just over 5 generations and far too short a time for Darwinian genetics to have had any significant impact. This increase in height, rather than being hampered, actually accelerated during 2 World Wars and the Great Depression in the 15 European countries studied.

But now as the height impact of improved nutrition plateaus, perhaps the next 100 years and five generations of fast food will bring an 11cm increase in human width!!

In the “nature” versus “nurture” debate it only convinces me further that for all genetic traits, the particular set of genes in an individual only provides a Bell curve of the available framework for the expression of that trait. And there will be a Bell curve for each “trait” which is genetically determined. Thereafter it is “nurture” and/or the existing environment which determines the level to which that trait is expressed.

Nature and Nurture

Nature and Nurture

Science Codex: 

The average height of European males increased by an unprecedented 11cm between the mid-nineteenth century and 1980, according to a new paper published online today in the journalOxford Economic Papers. Contrary to expectations, the study also reveals that average height actually accelerated in the period spanning the two World Wars and the Great Depression.

Timothy J. Hatton, Professor of Economics at the University of Essex and the Research School of Economics at Australian National University in Canberra, examined and analysed a new dataset for the average height (at the age of around 21) of adult male birth cohorts, from the 1870s to 1980, in fifteen European countries. The data were drawn from a variety of sources. For the most recent decades the data were mainly taken from height-by-age in cross sectional surveys. Meanwhile, observations for the earlier years were based on data for the heights of military conscripts and recruits. The data is for men only as the historical evidence for women’s heights is severely limited.

Professor Hatton said, “Increases in human stature are a key indicator of improvements in the average health of populations. The evidence suggests that the improving disease environment, as reflected in the fall in infant mortality, is the single most important factor driving the increase in height. The link between infant mortality and height has already been demonstrated by a number of studies.” Infant mortality rates fell from an average of 178 per thousand in 1871-5 to 120 per thousand in 1911-15. They then plummeted to 41 in 1951-5 and 14 in 1976-80.

In northern and middle European countries (including Britain and Ireland, the Scandinavian countries, Netherlands, Austria, Belgium, and Germany) there was a “distinct quickening” in the pace of advance in the period spanning the two World Wars and the Great Depression. This is striking because the period largely predates the wide implementation of major breakthroughs in modern medicine and national health services. One possible reason, alongside the crucial decline in infant mortality, for the rapid growth of average male height in this period was that there was a strong downward trend in fertility at the time, and smaller family sizes have already been linked with increasing height.

Other factors in the increase in average male height include an increased income per capita; more sanitary housing and living conditions; better general education about health and nutrition (which led to better care for children and young people within the home); and better social services and health systems.

Source: Oxford University Press

Before the Sandwich came the snowy chocolatti

September 1, 2013

The use of the word “sandwich” to describe sliced meat between two slices of bread is supposed to originate after John Montagu, 4th Earl of Sandwich, (13 November 1718 – 30 April 1792). But the invention of the sandwich as a dish probably goes back to the first use of flat breads and of wrapping other edible foods within the breads. As far as we know flat breads originate at least from 4,000 BCE as they were known in Sumeria and Ancient Egypt.

“Sandwich”: It was named after John Montagu, 4th Earl of Sandwich, an 18th-century English aristocrat, although he was neither the inventor nor sustainer of the food. It is said that he ordered his valet to bring him meat tucked between two pieces of bread, and because Montagu also happened to be the Fourth Earl of Sandwich, others began to order “the same as Sandwich!”. It is said that Lord Sandwich was fond of this form of food because it allowed him to continue playing cards, particularly cribbage, while eating without getting his cards greasy from eating meat with his bare hands.

But it would seem from research by Kate Loveman that Admiral Sir Edward Montagu, the first Earl of Sandwich (1625 -1672) has an even greater claim to culinary fame than his great, great, grandson. Of course chocolate has been in use for at least some 800 years for pleasure and as a medicine but the first iced chocolate – or is it a chocolate ice? – is still a culinary milestone.The Earldom was created in 1660 and this recipe for a “snowy chocolatti” dates from 1668 or earlier.

The Earl’s iced chocolate recipe

  1. Prepare the chocolatti (to make a drink)
  2. Putt the vessell that hath the chocolate in it, into a jaraffa (carafe) of snow stirred together with some salt
  3. Shake the snow together sometyme and it will putt the chocolatti into tender curdled ice
  4. Soe eate it with spoons

Kate LovemanThe Introduction of Chocolate into England: Retailers, Researchers, and Consumers, 1640–1730,  Journal of Social History (Fall 2013) 47 (1): 27-46. doi: 10.1093/jsh/sht050

Abstract: 

In the mid-seventeenth century chocolate was a new and fascinating product in England, often grouped with two equally exotic drinks, coffee and tea. This article focuses on the early history of chocolate, examining how it was marketed, perceived, and consumed. Chocolate sellers, who included coffee-houses proprietors, frequently made use of print to educate potential customers: the 1640s and 1650s saw chocolate-drinking promoted as medicinal, excitingly foreign, and pleasurable. Further insights into the scientific, governmental, and social factors that drove interest in chocolate during the Restoration can be found in the manuscripts of the first Earl of Sandwich (1625–72).

Despite evidence of considerable industry on the part of chocolate consumers, in the 1690s the success of a new breed of elite chocolate houses led to chocolate becoming strongly associated with leisure and decadence. These cultural associations were promoted in succeeding decades by periodicals, drama, and satirical poems. Throughout the late seventeenth and early eighteenth centuries, consumers’ experimentation with chocolate took place in the context of succeeding government’s fiscal experiments with cacao and chocolate: new tax measures influenced the cost of chocolate and its availability. By consulting a range of sources, from customs records to recipe books, we can track the ways chocolate was used across the decades and the factors in its adoption by different groups of consumers.

BBC News writes:

Dr Kate Loveman, from the University of Leicester, said she found the recipes in manuscripts which belonged to the Earl of Sandwich in 1668.

At the time, the chocolate treats came with a health warning for damaging the stomach, heart and lungs. The research also shows some of the regular themes in chocolate advertising across the centuries.

Dr Loveman, a senior lecturer in 17th and 18th Century English literature, said she was looking through a Samuel Pepys journal when she came across a 30-page section on chocolate.

Dr Kate Loveman
Dr Kate Loveman said the recipe was for a very solid, dark version of iced chocolate drinks. “It struck me as quite an unusual, odd thing because I have never come across anything quite like this before,” she said. “So I thought I would look into it further to find out how unusual it actually was.

“It’s not chocolate ice-cream, but more like a very solid and very dark version of the iced chocolate drinks you get in coffee shops today. Freezing food required cutting-edge technology in 17th Century England, so these ices were seen as great luxuries.”

The Earl’s recipe was written about 100 years before his great-great-grandson allegedly invented the sandwich. Dr Loveman said: “In the 1660s, when the Earl of Sandwich collected his recipes, chocolate often came with advice about safe consumption. 

“The papers included quite stern warnings about the dangers. It was a drug as far as people of the 17th Century were concerned.

“One physician cautioned that the ingredients in hot chocolate could cause insomnia, excess mucus, or haemorrhoids. People worried that iced chocolate in particular was ‘unwholesome’ and could damage the stomach, heart, and lungs.”

Dr Loveman’s research also shows some of the continuities in chocolate advertising across the centuries, such as links between chocolate and women, pleasure and sexuality.

Yoghurt and Spice

July 26, 2013

Bowel disease found to be twice as common in Western Europe than in Eastern Europe.

Of course they don’t know why it should be  that “Crohn’s disease (CD) and ulcerative colitis (UC) are. twice as common in Western Europe as in Eastern Europe”.

I think it’s because there’s much more yoghurt in the Eastern European diet and not enough spice in the Western European diet!

Yoghurt and spice chicken image- health.com

 ScienceNordic  reports: 

A huge study with data from ten million people points towards a previously undescribed tendency. The bowel diseases Crohn’s disease (CD) and ulcerative colitis (UC) are twice as common in Western Europe as in Eastern Europe. The international study was headed by a group of researchers at the Digestive Disease Centre, Copenhagen University Hospital, Herlev, Denmark.

The researchers gathered data about CD and UC patients from 31 intestinal health centres from more than 20 countries throughout Europe. The centres covered a total of some ten million people.
”The whole point of setting up a project such as this one is that we want everyone to take part. We have approached as many of the relevant institutions as we could,” he says.

The reason why Burisch decided to focus on the incidence of these two diseases was that the number of patients started to increase in Eastern Europe, including Hungary and Croatia. …..

…. It turned out that the diseases were twice as common in the West as in the East. ….. 

An obvious reason for this difference could be that Western Europeans are generally better at examining and diagnosing, which means that there may well be a significant number of undiagnosed patients in Eastern Europe. ”But the Eastern European centres that we looked at were good at diagnosing. In fact, they appeared to be more in line with international guidelines than we are [in Western Europe].”

An alternative explanation is that the immune system can become lazy as the living standards improve.

”In Western Europe we have high standards of hygiene and we consume lots of controlled and processed foods, which may confuse and dull our immune system,” says the researcher, pointing out that the search for an explanation is still at the speculative stage. …

And since it is in the speculative stage I suggest it is due to more yoghurt in the East and not enough spice in the West!

What food crisis?

July 16, 2013

In 1961 the world population was just over 3 billion. Now it is 7 billion. The UN Food and Agriculture Organisation’s 2013 Statistical Year Book is now out and shows that during this period:

Agricultural production has increased  

  • Global crop production has expanded threefold over the past 50 years, largely through higher yields per unit of land and crop intensification.
  • Global per capita food supply rose from about 2 200 kcal/day in the early 1960s to over 2 800 kcal/day by 2009
  • Buoyed by high commodity prices, agriculture has demonstrated astonishing resilience during global economic turmoil. In 2010, agricultural value-added at the world level rose by 4 percent, in contrast to a 1 percent increase in overall GDP.

image UNEP/GEAS

So while population has increased by a factor of 2.3, the food available per person has increased by about 30%. Of course there are many millions who still suffer from malnutrition but this is primarily due to poverty and a failing of distribution systems. It is not the availability of food which has failed. The proportion of the population which is under-nourished continues to steadily decline.

(more…)

And so to bed…

July 15, 2013
Delhi street

Delhi street (Photo credit: April_May)

It has been a hectic week in Delhi.

A trip covering about 30 degrees of latitude and 60 degrees of longitude. From 58.7057° N, 15.7674° E to 29.0167° N, 77.3833° E and back.

I first lived in Delhi in the 1950’s and the city has grown out of all recognition. Size and population and traffic have exploded. The infrastructure has only just about managed to keep pace. (Considering the rate of growth that itself is no mean achievement.) Every home boiled water then and uses water purifiers today. You were subject to sporadic loss of power then and now put up with regular “load shedding” (as demand side power management is called). But inverters and generators are common and the urban Delhi dweller can “make do”. He has to – he has no choice.

Delhi Urban population – newgeography.com

The same “standard meal” (a bowl of rice, 4 chappatis, a bowl of lentils, 2 servings of vegetables and a small bowl of yogurt) costs Rs 30 ($0.50) from the street vendor, Rs 60 from the roadside dhaba, Rs 70 from the office canteen and about Rs 800 at an upmarket hotel restaurant. But mangoes from Uttar Pradesh were in season and mangoes and papaya everyday for breakfast was refreshing. And my hosts were kind enough to pack 10kgs of mangoes I could bring back with me.

(more…)

Indian “curry” dates back to 4,500 years ago

January 30, 2013

Curries have come a long way from the proto-curry of the Indus Valley civilization and I am sure our tastes have also evolved. And chillies probably came much later and only in the 16th century.

But I can attest to the fact that curry withdrawal syndrome is a real thing and hits hard if I go more than 3 or 4 days without a fix.

Slate:

The Mystery of Curry

By |Posted Tuesday, Jan. 29, 2013,

Indian chicken jalfrezi curry.

Indian chicken jalfrezi. Photograph by Joe Gough/iStockphoto/Thinkstock.

What is curry? Today, the word describes a bewildering number of spicy vegetable and meat stews from places as far-flung as the Indian subcontinent, the South Pacific, and the Caribbean Islands. There is little agreement about what actually constitutes a curry. And, until recently, how and when curry first appeared was a culinary mystery as well.

The term likely derives from kari, the word for sauce in Tamil, a South-Indian language. Perplexed by that region’s wide variety of savory dishes, 17th-century British traders lumped them all under the term curry.  A curry, as the Brits defined it, might be a mélange of onion, ginger, turmeric, garlic, pepper, chilies, coriander, cumin, and other spices cooked with shellfish, meat, or vegetables.

Those curries, like the curries we know today, were the byproduct of more than a millennium of trade between the Indian subcontinent and other parts of Asia, which provided new ingredients to spice up traditional Indian stews. After the year 1000, Muslims brought their own cooking traditions from the west, including heavy use of meat, while Indian traders carried home new and exotic spices like cloves from Southeast Asia. And when the Portuguese built up their trading centers on the west coast of India in the 16th century, they threw chilies from the New World into the pot. (Your spicy vindaloo may sound like Hindi, but actually the word derives from the Portuguese terms for its original central ingredients: wine and garlic.) 

But the original curry predates Europeans’ presence in India by about 4,000 years. Villagers living at the height of the Indus civilization used three key curry ingredients—ginger, garlic, and turmeric—in their cooking. This proto-curry, in fact, was eaten long before Arab, Chinese, Indian, and European traders plied the oceans in the past thousand years.

….. The Indus society began to flourish around the same time that the ancient Egyptians built their pyramids and Mesopotamians constructed the first great cities in today’s Iraq. Though less well known than its more famous cousins to the West, the Indus civilization boasted a half-dozen large and carefully planned urban centers with sophisticated water and sewage systems unmatched until Roman times. During its peak, between 2500 B.C. and 1800 B.C., the Indus dominated a land area larger than either ancient Egypt or Mesopotamia, covering much of today’s Pakistan and most of western India, as far west as the Iranian coast, as far north as Afghanistan, and as far east as the suburbs of New Delhi. But unlike the hieroglyphic and cuneiform writing of the Egyptian and Mesopotamian scribes, the strange symbols left behind by their Indus counterparts has not yet been deciphered by today’s scholars. Deciphering their food traditions has, until recently, been equally challenging.

Archaeologists have long known how to spot some ancient leftovers. The biggest breakthrough came in the 1960s, when excavators began to drop soil from their sites—particularly from places where food likely was prepared—onto mesh screens. The scientists then washed the earth away with water, leaving behind little bits of stone, animal bones, and tiny seeds of wheat, barley, millets, and beans. This flotation method allowed scientists to piece together a rough picture of an ancient diet. “But spices are absent in macro-botanical record,” says archaeologist Arunima Kashyap at Washington State University Vancouver, who, along with Steve Weber, made the recent proto-curry discovery.*

Working with other Indian and American archaeologists, the two applied new methods for pinpointing the elusive remains of spices that don’t show up in flotation tanks. Instead of analyzing dirt from Indus kitchens, they collected cooking pots from the ancient town of Farmana, a modest settlement that prospered in the late third millennium B.C. (Today, it’s a two-hour drive west of Delhi.) They also obtained human teeth from the nearby cemetery from the same era. …… 

…… Examining the human teeth and the residue from the cooking pots, Kashyap spotted the telltale signs of turmeric and ginger, two key ingredients, even today, of a typical curry. This marked the first time researchers had found unmistakable traces of the spices in the Indus civilization. Wanting to be sure, she and Weber took to their kitchens in Vancouver, Washington. “We got traditional recipes, cooked dishes, then examined the residues to see how the structures broke down,” Weber recalls. The results matched what they had unearthed in the field. “Then we knew we had the oldest record of ginger and turmeric.” Dated to between 2500 and 2200 B.C., the finds are the first time either spice has been identified in the Indus. They also found a carbonized clove of garlic, a plant that was used in this era by cooks from Egypt to China.

They found additional supporting evidence of ginger and turmeric use on ancient cow teeth unearthed in Harappa, one of the largest Indus cities, located in Pakistan west of the border with India. Why would cattle be eating curry-style dishes? Weber notes that in the region today, people often place leftovers outside their homes for wandering cows to munch on. There are numerous ancient Indus images of cattle on terra-cotta seals, suggesting that during Indus times, people may have regarded cows as sacred, as Hindus do today. The Harappan ruins also contain evidence of domesticated chickens, which were likely cooked in those tandoori-style ovens and eaten. …….